3D direct numerical simulation of the entire pool boiling curve from onset of nucleation to critical heat flux through transition boiling to film boiling

In 1934, Nukiyama [1] performed one of the first experimental study on pool boiling from an  electrically heated metal wire, where heat flux was measured by the consumption of electric power. By calibrating the electric resistance of the wire as a function of temperature prior to the experiment, he was able to obtain data for heat flux and temperature of the wire at a given current and voltage, Thus, a curve in terms of degree of wall superheat () versus heat flux could be plotted which showed that degree of wall superheat increased with increasing heat flux, and the curve terminated when the metal wire was melted at a sufficiently high heat flux. Such a curve is called pool boiling curve under controlled heat flux conditions. Furthermore, Nukiyama [1] speculated that if the wall temperature could be controlled and used as the independent variable, a maximum heat flux (the so called critical heat flux) and a minimum heat flux (the Leidenfrost point) would exist on such a boiling curve. In 1937, a controlled wall temperature experiment was performed by Drew and Muller [2], who conducted an experiment on pool boiling from outside of a horizontal tube with steam condensing inside the tube at an elevated pressure. By changing the steam pressure, the wall temperature of the tube could be controlled. The boiling curve in terms of heat flux versus wall superheat (with the latter as the independent variable) indeed showed a maximum and a minimum heat flux, which confirmed Nukiyama’s earlier speculation. Thus, the shape of pool boiling curves for heaters under controlled heat flux and controlled wall temperature were different. Subsequently, Farber and Scorah [3] performed a pool boiling heat transfer experiment using a metal wire similar to Nukiyama’s experiment except that data were taken at constant wall temperature by adjusting electric current and voltage. By observing bubble behaviors on the heated wire, they classified the boiling curve under controlled wall temperature conditions into nucleate boiling, transition boiling and film boiling regimes.

Eighty years after Nukiyama’s pioneering pool boiling experiments, more than 2182 papers on pool boiling curves have been published. Most of these papers were experimental investigations in which boiling curves with different shapes were presented and correlation equations were attempted. In particular, Rohsenow’s correlation equation [4] with fitting constants to account for surface wettability effects has been widely accepted for the nucleate boiling regime. However, correlations equations for transition boiling regime were unsuccessful because boiling curves in the transition boiling regime had widely different shapes and too many influential factors were involved in this boiling regime. Theoretical studies on pool boiling were limited to (i) onset of vapor bubble nucleation based on thermodynamic analyses of changes in Gibbs function and availability function; (ii) Several critical heat flux models based on different triggering mechanisms (including hydrodynamic instability, microlayer, irreversible dry spots) were proposed, but no consensus on the validity of these models was reached, and (iii). Berenson [5] obtained the only analytical solution for film boiling on an upward-facing heat plate at uniform wall temperature. Numerical solutions for simulation of the entire pool boiling curve from nucleation through critical heat flux to transition boiling to film boiling under control wall temperature conditions was unavailable owing to the following reasons: (i) bubble nucleation is a microscale phenomenon where classical macroscopic methods based on Navior Stoke equations and energy equation are not applicable, (ii) contact angle effects play key roles in nucleate boiling and transition boiling regimes but these effects cannot be taken into consideration in the macroscopic model, and (iii) complicated tracking methods are needed to be implemented for tracing deformed boundary of vapor-liquid interfaces.

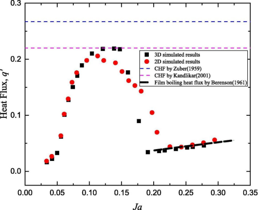
The lattice Boltzmann method is a mesoscale numerical method which has the advantages of (i) contact angle effects can be taken into consideration easily, and (ii) there is no need to track the deforming vapor liquid interfaces. During the past ten years, Prof. Ping Cheng and his students at Shanghai Jiaotong University have engaged in the development of a liquid-vapor phase-change lattice Boltzmann method for the direct numerical simulation of the entire pool boiling curve for a heated horizontal flat plate. Beginning in 2012-2013, Gong and Cheng [6,7] used a modified phase-change lattice Boltzmann method to study 2D vapor bubble nucleation, growth and departure from a heated upward-facing horizontal plate under controlled wall temperature conditions. Subsequently, Ma and Cheng [8] as well as Gong and Cheng [9] imposed Li’s conjugate boundary condition [10] at the liquid-wall interface. Their simulated boiling curves did show a minimum heat flux, and the simulated film boiling heat transfer matched with Berenson’s analytical solution. Most recently, Ma and Cheng [11] extended the 2D model to 3D for simulation of the entire pool boiling curve for pool boiling on a heated horizontal surface. It was found that 3D geometry greatly influenced the transition boiling regime in which dry spot dynamics played an important role, and thermal properties and thickness of the heater had significant effects in the transition boiling regime. Also, the 3D simulated critical heat flux matched closer with Zuber’s hydrodynamic instability model [12] than the 2D model. On the other hand,3D geometry plays less important role in nucleate boiling and film boiling regimes. Similar to the 2D model, the 3D simulated nucleate boiling regime matched with Rohsenow’s correlation equation [4] and the 3D simulated film boiling regime also matched with Berenson’s analytical solution [5]. In a statement to Advances in Engineering, Professor Ping Cheng, a world class researcher in the field of heat transfer, said that this most recent paper is a giant step forward in providing a numerical tool for numerical simulation of pool boiling heat transfer phenomena. This approach can provide a parametric study on effects of any physical property on pool boiling phenomena which can also be used to clarify existing controversies in pool boiling experimental data.

3D direct numerical simulation of the entire pool boiling curve from onset of nucleation to critical heat flux through transition boiling to film boiling  - Advances in Engineering
Fig.6. Comparison of 2D and 3D simulated pool boiling curves for an upward-facing heated horizontal hydrophilic plate (under controlled wall temperature conditions) submerged in a saturated liquid at 0.9 Tcr
3D direct numerical simulation of the entire pool boiling curve from onset of nucleation to critical heat flux through transition boiling to film boiling  - Advances in Engineering
Fig.10. 3D bubble rise from a horizontal heated hydrophilic plate (first row), liquid-vapor distribution (second row) and temperature distribution (third row) on the heated plate (under controlled wall temperature conditions) submerged in a saturated liquid at 0.9Tcr

Ping Cheng received his B.S. degree from Oklahoma State University, M.S. degree in Mechanical Engineering from MIT, and Ph.D. degree in Aeronautics and Astronautics from Stanford University. He is a Chair Professor Emeritus in School of Mechanical Engineering at Shanghai Jiaotong University. Professor Cheng is an internationally renowned specialist in heat transfer. He has done seminal research work in porous-media heat transfer, radiative gas dynamics, and microscale boiling/condensation heat transfer. He has published over 320 SCI journal papers, and was listed as one of the world’s highly cited researchers by Thomson Reuters in 2014. Professor Cheng has received four top international honors, including 2006 ASME/AICHE Max Jakob Memorial Award, 1996 ASME Heat Transfer Memorial Award, 2003 AIAA Thermophysics Award, and 2006 ASME Heat Transfer Division Classic Paper Award. Professor Cheng is an elected member of Chinese Academy of Sciences, and a Fellow in both ASME and AIAA. He served as Editors for Int. J. Heat Mass Transfer and Int. Comm. Heat Mass Transfer for a period of 18 years from 2003 to 2021, and is a member of editorial board of 12 international heat transfer journals. He was the Chair of the 16th International Heat Transfer Conference, which was held in Beijing in 2018.

Xiaojing Ma received her Ph.D. from Shanghai Jiao Tong University (SJTU) in 2020 under the supervision of Professor Ping Cheng. In 2015, she visited the University of Edinburgh to perform cooperative research work between Shanghai Jiaotong University and University of Edinburgh on boiling heat transfer for a period of 6 months. After obtaining her PhD degree from SJTU, she joined the faculty of School of Energy Power and Mechanical Engineering at North China Electric Power University. Her research interests are numerical and experimental studies of energy utilization systems. She performed 3D lattice Boltzmann simulation for pool boiling, and obtained the first complete pool boiling curve on smooth surfaces as well as micro/nano structured surfaces numerically. From numerical simulation, she pointed out the important role of dry spots in critical heat flux. Also, based on the principles of bionics engineering on separate fluid paths of vapor and liquid, she performed lattice Boltzmann simulations for enhancements of boiling heat transfer heat sinks. These studies not only improve the fundamental understanding of boiling hat transfer but have wide practical applications as well.

References

  1. Nukiyama S., Maximum and minimum values of heat transmitted from metal to boiling water under atmospheric pressure, Int. J. Heat Mass Transfer 9 (1966) 1419-1433.
  2. Drew, T.B., C. Muellr., Boiling Trans, Am. Inst. Chem. Eng.33 (1937) 449-473.
  3. Farber, E. A. and Scorah, Heat Transfer to Water to Boiling Under Pressure, Transmisson of ASME (1948) 369-384.
  4. Rohsenow, W. M., A method of correlating heat transfer data for surface boiling of liquids, Trans ASME 74 (1951) 14871576.
  5. Berenson, P. J., Film boiling heat transfer from a horizontal surface, J Heat Transfer 83 (1961) 351-358.
  6. Gong, S., and Cheng, P., A lattice Boltzmann method for simulation of liquid-vapor phase-change heat transfer, Int. J. Heat Mass Transfer 55 (2012) 4923-4927.
  7. Gong, S., and Cheng, P., Lattice Boltzmann simulation of periodic bubble nucleation, growth and departure from a heated surface in pool boiling, Int. J. Heat Mass Transfer 64 (2013) 122-132.
  8. Ma, X. J., Cheng, P., Gong, S., and Quan, X. J., Mesoscale simulations of saturated pool boiling heat transfer under microgravity conditions., Int. J. Heat Mass Transfer 114 (2017) 453-457.
  9. Gong, S., and Cheng, P., Direct numerical simulations of pool boiling curves including heater’s thermal responses and the effect of vapor phase’s thermal conductivity, Int. Comm. Heat Mass Transfer 87 (2017) 61-71.
  10. Li, L., Chen, C., Mei, R., Klausner J. F., Conjugate heat and mass transfer in the lattice Boltzmann method. Physical Review E 89 (2004) 043308.
  11. Ma, X. J and Cheng, P., 3D simulation of pool boiling above smooth horizontal heated surfaces by a phase-change lattice Boltzmann method, Int. J. Heat Mass Transfer 131 (2019) 1095-1108.
  12. Zuber, N., Hydrodynamics aspects of boiling heat transfer, PhD thesis. University of California, Los Angeles (1959).

Share:

Facebook
Twitter
LinkedIn