The difficulty in storing electric energy is a big threat to grid stability. This has necessitated integrating power systems with robust short-term load forecasting techniques. The accuracy of these techniques highly depends on system operation and planning and includes various activities like unit commitment, maintenance scheduling, pricing strategies and security assessment. Accurate and forecasting of electric load should ensure reliable power system operation and cost savings for both consumers and power corporations.
Several methods and techniques, such as artificial models and econometric models, have been developed and used for forecasting in this field. Although this area has been extensively researched, most studies have concentrated on point forecasting instead of interval forecasting despite its practical implications. Interval forecasting is more important because it consists of both valley and peak values for a particular period in the form of time series, which is useful for a wide range of applications like oil price analysis and stock price forecasting. In addition, the interval-valued load is useful in reducing random variation, thereby covering more volatility information than point series. To this end, it is an important risk management tool for improving forecasting accuracy in various operations like power systems.
Interval-valued forecasting strategies are mainly based on the combination of the “divide and conquer” and machine learning models to capture the internal factors and enhance forecasting accuracy. This framework relies on bivariate empirical mode decomposition to simplify and decompose the interval data, a process that is generally expensive, complex and characterized by errors. In addition, most machine learning models used are still unstable and unreliable. Thus, developing robust, efficient and high-precision short-term interval load forecasting models is a current research priority. It is essential for power system planning and power demand-side management.
To address these limitations, doctoral candidate Dongchuan Yang, Professor Ju-e Guo, Professor Shaolong Sun and Mr. Jing Han from Xi’an Jiaotong University in collaboration with Professor Shouyang Wang from the Chinese Academy of Sciences developed a novel interval decomposition-ensemble approach for short-term load forecasting. This new approach was based on the “divide and conquer” concept and it comprised data characteristic driven reconstruction model consisting of four stages: decomposition of the original data, reconstruction to improve accuracy, separate forecasting and ensemble to obtain the forecasting results, respectively. Their work is currently published in the journal, Applied Energy.
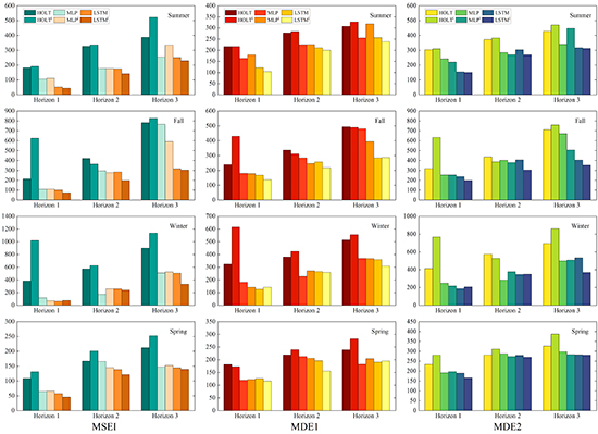
In their approach, the interval-valued short-term load data was decomposed into numerous bivariate modal components using bivariate empirical mode decomposition. These components were then used to extract and identify the fluctuating features of the data. Multivariate multiscale permutation entropy was utilized to perform the complex analysis of the individual modal components and reconstruct them to capture inner features, thereby reducing computational costs and improving accuracy. The proposed model was validated using electric load data derived from five Australian states and comparisons with single models.
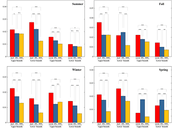
The research team demonstrated the competitiveness and superiority of the proposed approach compared with the single models and decomposition-ensemble models without reconstruction. The high forecasting accuracy was attributed to several factors. The learning approach considered fully the relationship between the lower and upper bounds of the interval load series. The bounds of the individual components were optimized, and the aggregated interval-valued output was generated by severally ensemble the forecast data of the lower and upper bounds for individual component.
In summary, the study demonstrated the feasibility of a newly developed interval load forecasting model based on a combination of data-characteristic driven reconstruction and the “divide and conquer” concept. Therefore, the performance of this model fully reflected the efficacy and benefits of these two important strategies. In a statement to Advances in Engineering, Professor Shaolong Sun, corresponding author said that their novel approach is robust, high-precision, effective and is a potential alternative for interval load forecasting in power systems.


Dongchuan Yang received Bachelor degree of Management from Xi’an Jiaotong University, China, in 2017. He is currently pursuing the Ph.D. degree in management science and engineering at School of Management, Xi’an Jiaotong University, China. His research interests include big data analysis, electric load forecasting, and energy manegement.
.
Ju-e Guo received her PhD degree in School of Management, Xi’an Jiaotong University, China, in 2001. She is currently a professor at School of Management, Xi’an Jiaotong University, China and executive deputy director of Research Center of Chinese Management, which is soft science research base of the Ministry of Education, China. She was elected to “Ten Thousand Talent Program” in 2016. She has published more than 20 papers in international journals, such as Energy Economics, International Journal of Production Economics and Expert Systems with Applications. Her research interests include investment and financing decision, risk management, energy policy and forecasting.
Shaolong Sun received his PhD degree in Management Science and Engineering at the Institute of Systems Science, Academy of Mathematics and Systems Sciences, Chinese Academy of Sciences,China. He is currently a professor at School of Management, Xi’an Jiaotong University, China. His research interests include artificial intelligence, big data mining, machine learning, social networks analysis, knowledge management, economic and transportation forecasting. He has published over 20 papers in leading journals including Applied Energy, Journal of Air Transport Management, Energy Economics, and IEEE Transactions on Cybernetics.
Shouyang Wang received his PhD degree in Operations Research from the Institute of Systems Science, Chinese Academy of Sciences, China, in 1986. He is currently a Bairen Distinguished Professor of Management Science at the Academy of Mathematics and Systems Science, Chinese Academy of Sciences and a Changjiang Chair Professor of Management Science and Engineering at the University of Chinese Academy of Sciences. He has published 35 monographs and more than 350 papers in leading journals. He is/was a co-editor of 16 journals including Information & Management and Energy Economics. His research interests include decision analysis, risk management, economic forecasting.
Reference
Yang, D., Guo, J., Sun, S., Han, J., & Wang, S. (2022). An interval decomposition-ensemble approach with data-characteristic-driven reconstruction for short-term load forecasting. Applied Energy, 306, 117992.


