Regenerative cooling based on endothermic hydrocarbon fuel coolants is widely used for thermal control and cooling in hypersonic flight vehicles. Normally, these fuels are exposed to high temperature and supercritical pressures leading to thermal cracking with significant impacts on the flow, heat transfer characteristics and the overall regenerative cooling systems. Thermal cracking mechanisms of hydrocarbon fuels are extremely complex due to the numerous elementary reactions. The presently available reaction mechanisms can be grouped into three: detailed, lumped and global mechanisms. Unfortunately, these mechanisms have some limitations when applied for engineering purposes. Detailed mechanisms are too complex to be applied to CFD simulations. Lumped mechanisms use ‘lumped pseudo-components’ to simplify liquid products, which makes the distribution of lumped liquid products unable to be predicted. Global mechanisms, which are mostly based on PPD assumption, are only efficient at lower fuel conversions because at higher fuel conversions, the mass fractions of cracking are not proportional to the conversions rate due to secondary reactions. Therefore, alternative strategies are required for accurate prediction of thermal cracking through an in-depth understanding of secondary reaction pathways and rate constants.
Herein, Professor Pei-Xue Jiang, Yusen Wang (PhD candidate) and Professor Yinhai Zhu from Tsinghua University presented a new thermal cracking modeling approach for hydrocarbon fuels at supercritical pressures. To account for the effects of the secondary reactions, the thermal cracking process was treated as an infinite number of continuous micro reactions at varied fuel conversion rates. This allowed expression of the stoichiometric coefficients of each species based on continuously differentiable functions of the fuel conversions. Their main objective was to demonstrate the establishment of a differential global reaction model with variable stoichiometric coefficients via thermal cracking of n-decane at supercritical pressures. This model was implemented in a computational fluid dynamics program. The work is published in the journal, Energy & Fuels.
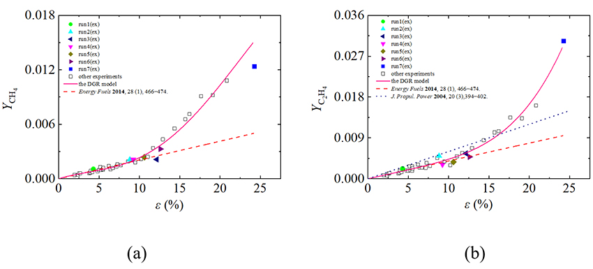
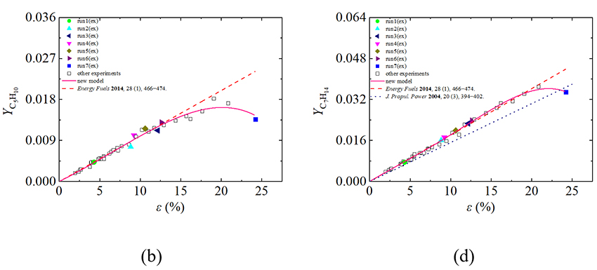
The model was successfully applied to predict thermal cracking for both low and high fuel conversions. Results showed the effectiveness of using the differential global reaction model for accurate prediction of the mass fraction species as compared to the existing global reaction models. This approach was particularly suitable for cases where the secondary reactions exhibit significant influence on the thermal cracking. For instance, the predicted mass fractions of the species recorded a root mean square error of 4.2% for conversion of 24.3% which was significantly lower than 61.1% reported in the existing models.
Furthermore, it was worth noting that as the fuel conversion increased, the predicted mass fractions of small molecular products kept increasing. However, the mass fraction of long-chain products decreased at higher fuel conversion because they were consumed by secondary reactions and converted into smaller molecules resulting in a corresponding reduction in their mass.
In summary, the presented modified global reaction model with variable stoichiometric coefficients by Tsinghua University scientists was successfully applied to computational fluid dynamics simulations with remarkably high computational efficiency. This novel method was innovative in that the stoichiometric coefficients determined from thermal cracking experiments required only species mass fractions. This meant that the model is versatile and can be easily extended to other hydrocarbon fuels. The study has been selected by Advances in Engineering as an important contributor in the efforts to ensure efficient thermal control and cooling at supercritical pressures.
Â




Pei-Xue Jiang is a professor in the Department of Energy and Power Engineering, Tsinghua University, China. He received his Ph.D. in the Department of Thermo-Power Engineering of Moscow Power Engineering Institute in 1991. He then joined the faculty of Tsinghua University and took the professor post in 1997.
His main research interests include convection heat transfer in porous media and enhanced heat transfer, convection heat transfer at supercritical pressures, transpiration cooling and film cooling, thermal transport in nanoscale structures, trans-critical CO2 air conditioning systems, and heat pumps. He has published more than 300 research papers which have been cited over 3700 times.
Yusen wang is a Ph.D. student in the Department of Energy and Power Engineering, Tsinghua University, under the supervision of Prof. Pei-Xue Jiang. He is currently working on heat transfer and thermal cracking of supercritical pressure fuels.
.
Yinhai Zhu is an associate professor in the Department of Energy and Power Engineering, Tsinghua University, China. He received his Ph.D. in Xi’an Jiaotong University in 2009. He is a Member and deputy director of the Youth Work Committee of the Thermodynamics Branch of the Chinese Society of Engineering Thermophysics.
His research fields are spacecraft thermal protection technologies, waste heat recovery technologies and ejector refrigeration systems. He has published more than 90 research papers which have been cited more than 1000 times in SCI.
Reference
Jiang, P., Wang, Y., & Zhu, Y. (2019). Differential Global Reaction Model with Variable Stoichiometric Coefficients for Thermal Cracking of n-Decane at Supercritical Pressures. Energy & Fuels, 33(8), 7244-7256.


