Alloys have significantly contributed in the development of strong yet light parts for both automotive and aeronautical use. In particular, hypo-eutectic Aluminum-Silicon (Al-Si) alloy system that exhibit strong corrosion resistance, good castability and relatively high strength-to-weight ratio has been widely adopted. Unfortunately, despite having such excellent and desirable attributes, hypo-eutectic Al-Si alloys have limited usage as structural materials mainly due to the inherent characteristics of the Si phase that forms within its eutectic structure. The Si related flaws in Al-Si alloys lead to brittleness consequently reducing ductility and mechanical property performance. Literature has it that it is possible to modify the Si into a fibrous and rod-like shape, which can yield a 50% improvement in the tensile strength, and a three-fold improvement in the ductility. Further, the aforementioned non-ideal Si morphology can be modified, via alloy additions and/or rapid solidification, but the underlying mechanism(s) behind this is poorly understood.
In this view, it would be desirable if one focused on hypo-eutectic systems rather than the polar eutectic/hypereutectic alloy compositions. To this end, a group of researchers from the Department of Chemical and Materials Engineering at University of Alberta: Mr. William Hearn, Dr. Abdoul-Aziz Bogno, Dr. Jonas Valloton and Professor Hani Henein together with Professor Jose Spinelli at Federal University of São Carlos investigated the microstructural evolution of rapidly solidified hypo-eutectic Al-10 wt pct Si alloys, using Impulse Atomization (IA) (a drop tube technique) and Differential Scanning Calorimetry (DSC) techniques. They developed microstructure maps of the eutectic structure to define what solidification rates would cause shifts in the Si morphology. Their work is currently published in the research journal, Metallurgical and Materials Transactions A.
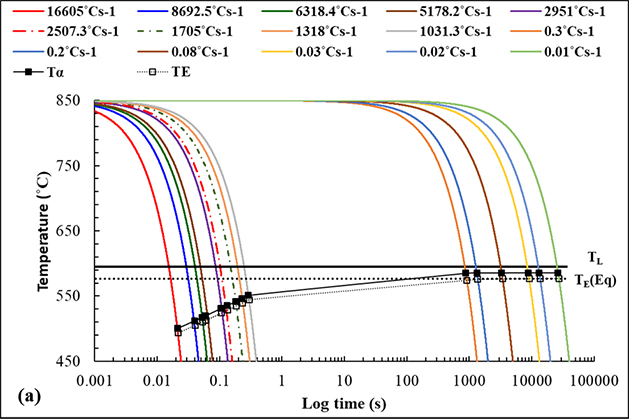
To begin with, the researchers produced Al-10 wt pct Si alloys by induction melting of commercial purity Al and high purity Si. Various thermal histories were obtained by IA (high cooling rate and large undercooling) and by DSC. After processing, the resultant alloy was subjected to metallographic analysis, X-ray diffraction among other intricate analysis procedures. Moreover, so as to characterize the mechanical properties of the resultant Al-10 wt pct Si alloy, the researchers carried out Vickers hardness measurements.
The authors found out that the eutectic Si formed into four distinct morphologies: flaky, dendritic, dendritic & fibrous and fibrous (Figure 1), depending on the solidification conditions. As a result, the researchers proposed two solidification maps of the Si morphology; one based on local eutectic solidification conditions (Figure 2) and another based on a solidification continuous cooling diagram (Figure 3). Finally, the results of the hardness measurements (converted into Yield Strength, σYS, by using a widely used polycrystalline materials strength-hardness relationship: σYS= 3×Hv) carried out showed that the Si morphology influenced the alloys’ strength, with the highest value being achieved when the eutectic Si was fibrous (Figure 4).
In summary, University of Alberta scientists successfully generated various thermal histories for Al-10 wt pct Si alloys by impulse atomization and Differential Scanning Calorimetry. Generally, a thorough analysis of the micrographs confirmed the expected solidification microstructure, consisting of a pro-eutectic α-Al phase and an α-Al + Si eutectic structure. Overall, in a statement to Advances in Engineering, Dr. Abdoul-Aziz Bogno emphasized that the Si morphology remains an important factor that could alter the mechanical properties of hypo-eutectic Al-Si alloys.

Figure 1: FE-SEM micrographs of deeply etched IA Al-10 wt pct Si droplets outlining the four observed morphologies of the eutectic Si phase. (a) ‘‘Fibrous’’ Si morphology of a droplet of average size 230 µm, IA in He. (b) ‘‘Dendritic & Fibrous’’ Si morphology of a droplet of average size 138 µm, IA in Ar. (c) ‘‘Dendritic’’ Si morphology of a droplet of average size 328 µm, IA in He. (d) ‘‘Flaky’’ Si morphology from a droplet of average size 328µm, IA in Ar.

Â


Â

Â
Professor Hani Henein , PEng., PhD, FCAE, FCIM, FASM
The Advanced Materials Processing Laboratory (AMPL) is a multidisciplinary research group at the University of Alberta (UofA). It brings together top level research groups working in a synergistic manner on leading edge research of materials, devices and processing sciences in a collaborative environment sharing both their expertise and the most advanced research facilities.
The group is led by Professor Hani Henein (photo), who earned a B.Eng. and an MEng. in Metallurgical Engineering (1972 and 1976 respectively) from McGill University. In 1981, he received his Ph.D. from the University of British Columbia and joined the faculty at Carnegie-Mellon University, Pittsburgh, PA. In 1989, he came to the University of Alberta, and is a registered Professional Engineer in the Province of Alberta. Among many professional service activities, Henein has served as 2014 President of TMS and is serving as 2019 President of AIME.
Research in AMPL focuses on Materials Process Engineering research and is carried out by developing mathematical models, in-plant data and pilot scale testing on magnesium, aluminum, zinc, and nickel alloys, microalloyed steels and metal matrix composites (MMCs). The main thrust is to develop stronger, higher performance alloys, using innovative processes and products that are cost-effective, sustainable, and meet demands for reduced greenhouse gas emissions. Research in this group, using integrated computational methods, has led to the development and manufacture of the first X100 steel grade in North America for linepipe applications. For the development of stronger lighter weight transportation vehicles, in collaboration with international colleagues in France and Germany, the group has developed quantitative and verified simulations of rapidly solidified microstructures of aluminum copper, aluminum nickel, Aluminum silicon, and D2 tool steel alloys under diffusion limited conditions. These are important during development and control of strip casting, metal powder production and strip casting. These techniques lead to refined microstructures and higher performance alloys also applicable to Additive Manufacturing processes.
Reference
William Hearn, Abdoul-Aziz Bogno, Jose Spinelli, Jonas Valloton, Hani Henein. Microstructure Solidification Maps for Al-10 Wt Pct Si Alloys. Metallurgical and Materials Transactions A, Volume 50, Issue 3, page 1333–1345.


