The demand for various fibrous porous materials has steadily increased over the past few years. With the advancement in material processing techniques, extensive studies have been conducted to improve the properties of fibrous porous materials. Specifically, sound absorption characteristics of fibrous porous materials have attracted significant research attention. To date, most studies have focused on fabricating fibrous materials with various cross-sectional shapes. However, influences of the cross-sectional shapes of the fibrous porous materials on the sound-absorbing characteristics have not been fully explored.
To this end, Dr. Kunikazu Hirosawa at the IDAJ Company Limited in Japan carried out a numerical study to investigate the sound-absorbing characteristics of fibrous porous materials with various cross-sectional shapes; ellipse, circle, three arrows and six arrows. Remarkably, he examined the influence of fiber cross-sectional shapes on the sound absorption efficiency of the materials. The research work is currently published in the research journal, Applied Acoustic.
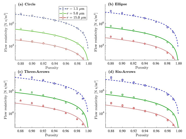
In his approach, fiber cross-sectional shapes with equal weight, thickness and area same as the circular radius were used. First of all, the non-acoustic parameters of the deformed fibrous porous materials were predicted by the formulas previously developed by the author, and the adaptability of the formulas to various fiber cross-sectional shapes was verified. Next, the acoustic properties and sound absorption characteristics of the porous materials with the four types of fiber cross-sectional shapes were simulated using the Johnson-Champoux-Allard model. The model parameters were calculated in a two-dimensional steady flow, assuming that all the fibers were perpendicular to the flow and incident sound direction. Additionally, the tortuosity and viscous characteristic length were determined using complex variable boundary element method for a two-dimensional steady potential flow, while the flow resistivity was determined using a finite element method for a two-dimensional steady Oseen flow. Finally, the sound absorption efficiency of the fibrous porous materials with the four types of cross-sectional shapes was discussed.
Results showed that the formulas, previously proposed for predicting the non-acoustic parameters of deformed fibrous porous materials, were also applicable for the four types of the fiber cross-sections shapes investigated. The author observed that the sound absorption coefficients of the fibrous porous materials depended on the fiber cross-sectional shapes. For instance, thinner cross-sectional shape exhibited no effect on the sound absorption efficiency while thicker cross-sectional shapes greatly affected the sound absorption efficiencies. Moreover, complex cross-sections shapes, such as the three arrows, exhibited the more significant potential of improving the sound absorption efficiency of fibrous materials compared to simple cross-sectional shapes.
In a nutshell, the study investigated the influence of four different types of fiber cross-sectional shapes on the sound absorption efficiency of fibrous porous materials through numerical fluid analysis. Results showed that provided that the fibrous porous materials are made from components with the same characteristics, its absorption efficiency could be improved by changing the fiber cross-sectional shape without having to change the weight, thickness or the fiber radius. In a statement to the Advances in Engineering, Dr. Hirosawa believed that the study provided useful insights that would aid the design and fabrication of high-performance fibrous porous materials for sound absorbing applications. Furthermore, he said the study was entirely based on numerical analysis, suggesting that it was possible to design materials efficiently without the need for experimentation or even manufacturing prototypes.
Â




Kunikazu Hirosawa is an Acoustic Specialist in IDAJ Co., Ltd. and in charge of the provision and business development of acoustic consulting services using acoustic numerical simulation. He received the Ph.D. degree in Acoustics from Kyushu University in 2005 and the Master degree in Acoustics from the Kyushu Institute of Design in 1999.
He has been practicing in the field of acoustic engineering for more than 20 years. In particular, he has a lot of experience in the development of measurement systems for acoustic properties and physical parameters for various materials, and he has been recognized for accurate and thoughtful analysis in acoustic numerical simulations based on his experience.
He was a member of the Sub Committee on Computational Methods for Environmental Acoustics of the Architectural Institute of Japan (2013 – 2018), and was a secretary of the Technical Committee on Architectural Acoustics of the Acoustical Society of Japan (2016 – 2018).
Reference
Hirosawa, K. (2020). Numerical study on the influence of fiber cross-sectional shapes on the sound absorption efficiency of fibrous porous materials. Applied Acoustics, 164, 107222.


