Wind-generated waves are water surface waves that occur on the free surface of water bodies. This development, in both coastal and inland waters is often dependent on the sea behavior at a specific site. Ideally, breakwaters of various dimensions and configurations have been widely employed to increase the use of locations exposed to wave attack. The main purpose of installing a breakwater is to reduce wave height to an acceptable level with respect to usage of the site. In recent times, an increase in the number of private pleasure crafts and small vessels has engendered a demand for more sheltered sites. Development of sheltering approaches are is controlled by affordability and the required level of protection. Over the years, rubble mound breakwaters have been widely used to attenuate surface water waves. More recently, several floating breakwaters (FBs) have been employed in coastal areas all over the world. Submerged breakwaters (SBs) have also witnessed a surge in interest among many researchers. Technically, motions of these breakwaters are usually constrained to three degrees of freedom: i.e. sway, heave and roll. A review of published literature shows that both numerical and analytical methods have been widely used to study such breakwaters.
Previous reported papers showed the analytical solution is normally approached by dividing the whole domain to sub-domains and then approximating the velocity potentials in each sub-domain using orthogonal functions. Consequently, in relation to breakwaters, it has been hypothesized that high aspect ratio SBs which could be made by a simple flat thin plate of steel can provide good substitutes for other conventional type of breakwaters having larger volume of materials. In fact, the former could be moored using typical moorings such as catenary lines by adding buoyancy aids to the structure. Working along this line, Durham University researchers: Esmaeel Masoudi (PhD candidate) and Associate Professor Lian Gan, investigated two types of two-dimensional rectangular high-aspect ratio flat SBs (horizontally and vertically) submerged in water of finite depth and infinite extent subjected to regular sinusoidal waves, by solving the velocity potential equations using the separation of variables method. Their work is currently published in the research journal, Ocean Engineering.
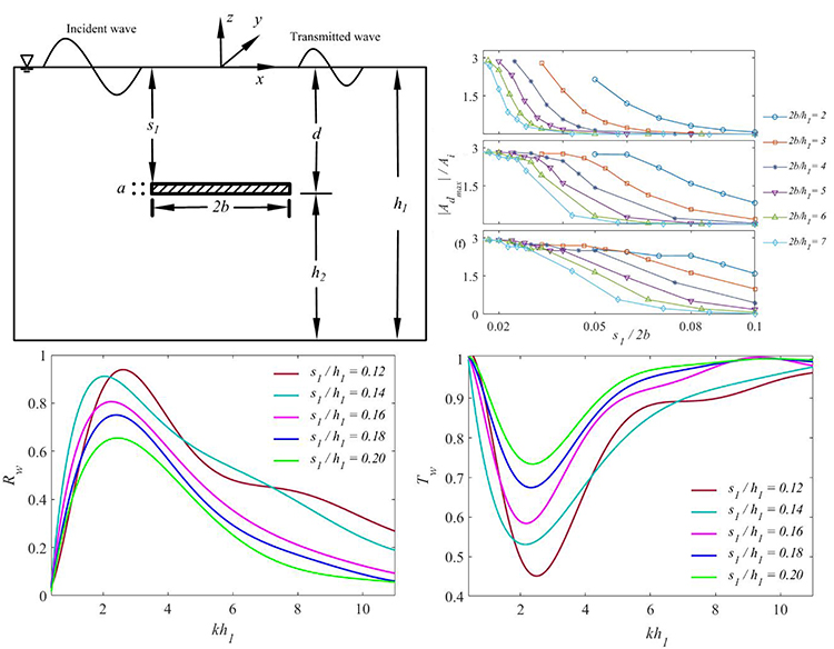
In their approach, the method of separation of variables was first verified by a typical conventional SB geometry. Additionally, BEM using ANSYS AQWA software was employed to solve diffraction and radiation problems for comparison. Next, hydrodynamic characteristics, including exciting forces as well as the reflection and transmission coefficients were analyzed. In particular, a parametric study on the main parameters e.g. submergence depth and the width of the breakwater were carried out in order to estimate their effects on the diffraction wave amplitude, which is a dominant parameter of the transmission coefficient.
The authors reported that added mass and damping coefficients were obtained following the determination of radiation potentials in three degrees of freedom (sway, heave and roll). It was shown that the vertical flat SB produced almost no diffraction wave and transmits most of the incident wave energy. Additionally, the two research colleagues established that the horizontal flat SB could potentially be applied as an alternative to the existing breakwaters such as conventional submerged or floating breakwaters, subjected to the consideration of construction, installation and maintenance factors etc.
In summary, the study by Professor Gan and Mr. Masoudi presented and in-depth assessment and verification of two-dimensional SBs with rectangular cross section in finite water depth in regular waves. In this work, two new breakwaters, horizontal and vertical flat SBs of high aspect ratio, were proposed and their hydrodynamic characteristics studied by the analytical and numerical methods. Overall, the results showed that the horizontal flat submerged breakwater generates considerable diffraction waves which contributes to high reflection coefficients comparable to normal rectangular FBs. The vertical flat SB however, produces weak diffraction wave heights, which contributes to transmission coefficients close to unity.
Â
Esmaeel Masoudi has been a PhD candidate in mechanical engineering at Department of engineering, Durham university in United Kingdom since 2019. He got his BSc and MSc in Naval Architecture with focus on hydrodynamic study on floating structures and specifically floating breakwaters. Currently his research interests are the study of flow behavior around cylinders, vortex shedding, vortex induced vibration (VIV) and galloping.
.
Dr Lian Gan is an Associate Professor in Fluid Mechanics at Durham University, UK. He has an MEng degree from National University of Singapore and a PhD degree from University of Cambridge, UK.
He has been an experimentalist with more than ten years of research experience in pulsatile and periodic vortex dynamics, flow-structure interactions and other inhomogeneous high Reynolds number turbulent flows. The main objective is to develop accurate techniques to non-invasively measure and model the coherent vortex structures in these flow problems and therefore to improve our fundamental understandings in the physical process governing the evolution of these flow structures, from which to help seek an optimal way to control the scalar mixing and momentum delivery in applications from industrial to biomechanical flows.
Dr Gan is also an active developer of laser-based experimental techniques for laboratory flow measurements. He contributed to developing the Cambridge University version of Tomographic Particle Image Velocimetry (TomoPIV, a volumetric non-invasive flow field measurement technique). He also developed other techniques including a stereo-scanning PIV to resolve volumetric turbulent flow fields at high spatial resolution and recently a novel technique to simultaneously resolve velocity field and the scalar interface applicable for liquid and gas phase inhomogeneous turbulent flows.
In recent years his research interest has extended to the application of data assimilation in inhomogeneous turbulent flows, a technique to optimise experimental measurement and computational flow modelling (RANS and LES) and machine learning application to experimental technique development, as well as the understanding the role of pulsatile vortex dynamics in human cardiac flows using data collected by 4D Flow Magnetic Resonance scanning with collaboration with physicists and cardiologists.
Reference
Esmaeel Masoudi, Lian Gan. Diffraction waves on large aspect ratio rectangular submerged breakwaters. Ocean Engineering; volume 209 (2020) 107474.


