Composite beams of steel and concrete have found extensive use in civil engineering structures. Technically, such composite structures take advantage of the high tensile strength of steel girders and the compressive strength of concrete slabs, leading to optimal strength to-weight ratios in real engineering practice. Overall, the integrated performance of composite structures is usually achieved through shear connectors and studs that are placed between the different constituents for the purpose of minimizing structural separation. Regardless, research has shown that a phenomenon of partial interaction consequently occurs between the components, leading to interlayer slips and more complicated situations relative to the monoclinic beams. In long-term services, several different types of dynamic loading conditions are usually applied to stimulate different responses of the composite beams. However, in existing literature, most of the dynamic analyses of partial-interaction composite beams are limited to free vibrations without considering more complex loading situations even if numerical techniques are involved. In comparison, the study on vibrations of composite beams under more general loading and boundary conditions is relatively scarce.
A thorough review of previously published research shows that majority of studies include the most sophisticated loading conditions for composite structures thus far, consequently making them unpopular for use in general situations. Therefore, to resolve this shortfall, researchers from the Zhejiang University in China: Professor Guannan Wang and Professor Rongqiao Xu, in collaboration with Associate Professor Jian-Ping Lin at the Huaqiao University, proposed to extend the recently developed one-dimensional (1D) static FE method, to enable study the dynamic behavior of partial-interaction composite beams. Their work is currently published in the Journal of Engineering Mechanics.
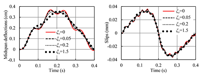
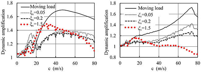
In their approach, the research team utilized the dynamic variational principles under the same framework of the (extended) Hamilton’s principle to develop finite-element (FE) formulations for the dynamic responses of composite beams with Timoshenko’s beam theory. Specifically, they focused on the forced vibrations of composite beams with a transverse point load, a moving mass, or a moving mass-spring-damper system, respectively, some of which remain critical in the consideration of the vehicle–bridge (structure) interaction. Overall, the developed dynamic FE theoretical framework was validated against numerical results in existing literature.
The authors reported that their work was unique in that it was the first to focus on several sophisticated loading conditions with their effects on the dynamic responses for the composite beams. Interestingly, a preliminary theoretical foundation was established for the vehicle–composite beam interaction, where the moving point load, mass, and mass-spring-damper system were applied on the composite structures for the first time.
In summary, the study carefully assessed the dynamic responses: mainly force vibrations, of partial interaction composite beams with sophisticated loading conditions. The developed theories and programs were validated by degenerating the simulated results for solid beams with the same loading conditions and always obtaining excellent agreement. In a statement to Advances in Engineering, the authors said their newly developed theories and programs provide solid foundations for further investigation of load/vehicle-composite-beam interactions, which have significant applications in bridge and transportation engineering.






Jian-Ping Lin is currently an associate professor in the department of of civil engineering of Huaqiao University. He received BE in civil engineering from Sichuan University, China, in 2009, and a Ph.D. in bridge and tunnel engineering from Zhejiang University, China, in 2014.
After finished his Ph.D. degree, he visited City University of Hong Kong as a research associate from 2014 to 2015. He has been employed by Huaqiao University since 2016. His research interests cover the computational mechanics, structural strengthening, and steel-concrete composite bridge. Besides, he has engineering experiences in construction monitoring, field testing and evaluation of large bridge engineering structures. He was PI for one project supported by the NSFC and participated 6 projects supported by NSFC. He has published research papers in the journals including Journal of Composites for Construction ASCE, Journal of Engineering Mechanics ASCE, Journal of Bridge Engineering ASCE, and Construction and Building Materials et al.
E-mail: [email protected]
Guannan Wang is currently the Professor of Civil Engineering of Zhejiang University. His background is in solid mechanics, mechanics of materials, structural dynamics, and multiscale and multifunctional modeling of multiphase engineering materials/structures, as well as extreme mechanics.
His research interests are mainly focused on creating more efficient and accurate multiscale and multifunctional numerical framework and design procedure for the homogenization and localization ranging between material (micro/nano) scales and structural (macro) levels. He has authored 40 peer-reviewed archived journal papers involving topics such as mechanics, materials, and civil structures, etc. He is also the principal investigator or major participant of several funding programs. He is invited as the editorial board member of <Nanotechnology Reviews> .
Email: [email protected]
Prof. Rongqiao Xu, from 1989 to 1996, studied in the department of engineering mechanics of Zhejiang University and got a bachelor’s degree in engineering mechanics, and a master’s degree in solid mechanics, respectively. From 1996 to 1999, he studied for a PhD degree in the department of civil engineering of Zhejiang University. After he graduated with a PhD degree in solid mechanics, he joined the Institute of Transportation Engineering as a lecturer. From January 2003 to December 2004, he visited Japan’s Nagaoka University of Technology and Science and returned to China in January 2005. He also visited the department of construction of City University of Hong Kong from November 2005 to February 2006 and July and August 2007. He once taught the course ‘Introduction to the Finite Element Method’ for undergraduate majored in civil engineering and the course ‘Fundamentals of Design of Bridge Engineering’ for master students majored in bridge and tunnel engineering.
Now he teaches the course ‘The Finite Element Method for Structural Analysis’ for master students majored in bridge and tunnel engineering, and the course of “Theory of Elasticity” for the undergraduates majored in civil engineering, and the course of “The Variational Principles of Elasticity and Its Application” for PhD students majored both in civil engineering and hydraulic engineering. He was PI for 3 projects supported by the NSFC and participated 6 projects supported by NSFC. He published more than 60 SCI papers, which were cited more than 800 times and with an h-index of 18. Now he is the director of the Institute of Transportation Engineering, a member of council for bridge and structure engineering branch of China Civil Engineering Society, a member of council for tunnel engineering branch of China Highway and Transportation Society, a member of the International Society for Computational Mechanics (IACM), a member of The China Society of Theoretical and Applied Mechanics.
His research interests include the digitalization and artificial intelligence of the transportation infrastructures, the analytical models of bridge and tunnel structures, composite structures, smart materials and structures, FRP and so on.
Reference
Jian-Ping Lin, Guannan Wang, Rongqiao Xu. Variational Principles and Explicit Finite-Element Formulations for the Dynamic Analysis of Partial-Interaction Composite Beams. Journal of Engineering Mechanics 2020, volume 146(6): 04020055.


